Tilpassede modulære leirløsninger for indonesisk gruvedrift
CBC Modular Systems har utviklet en skreddersydd modulær leirløsning for en stor-gruvedrift på en indonesisk ytre øy. Prosjektet inkluderer to forskjellige boligtypologier – ledelsesovernatting (private rom med eget-bad) og arbeidssovesaler (delt beboelse med felles sanitæranlegg) – begge basert på CBCs standardiserte Flatpack Container House-system
produkt introduksjon
modulært boligprosjekt i Indonesia, helt på linje med CBCs Flatpack Container House-system. Dette inkluderer detaljerte arkitektoniske og strukturelle beskrivelser, materialstart, mulighetsanalyse og strategisk markedsinnsikt.
Teknisk og markedsmessig gjennomførbarhetsrapport: tilpassede modulære leirløsninger for indonesisk gruvedrift
Utarbeidet av:CBC modulære systemer
Prosjektsted:Ytre øyer, Indonesia
Klient:Store indonesiske gruveselskap

1. Sammendrag
CBC Modular Systems har utviklet en skreddersydd modulær leirløsning for en stor-gruvedrift på en indonesisk ytre øy. Prosjektet inkluderer to distinkte boligtypologier-ledelsesovernatting(private rom med eget-bad) ogarbeider sovesaler(delt belegg med felles sanitæranlegg)-begge basert på CBCs standardiserteFlatpack Container House (FCH)system.
Nøkkelfunksjoner inkluderer:
Uniform modulstørrelse (2.25 m × 4.0 m) som muliggjør masseproduksjon, forenklet logistikk og rask -montering på stedet.
To-bygninger med integrerte stålkorridorsystemer, isolert takbelegg og tropisk-klimabestandighet.
Total kapasitet:~250 lederromog~400 arbeidsrom(imøtekommende1600 arbeidere).
Full overensstemmelse med krav til transportabilitet, værbestandighet og arbeidssikkerhet for fjerntliggende gruveplasser.
Denne rapporten beskriver design, materialer, gjennomførbarhet, fordeler og målmarkedsanvendbarhet for den foreslåtte løsningen.
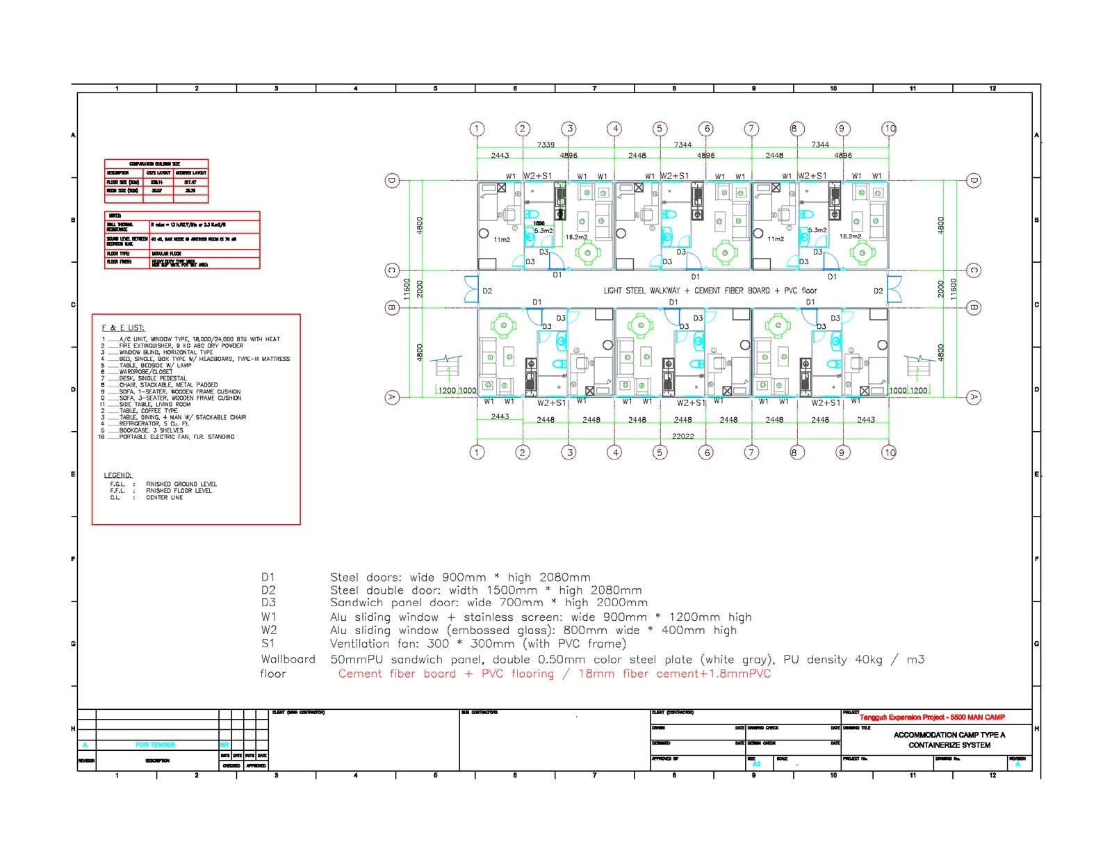
2. Designspesifikasjoner
2.1 Modulstandardisering
CBC bruker enflat-pakke, ISO-kompatibelt modulsystemmed følgende baseenhet:
Moduldimensjoner: 2.25 m (W) × 4.0 m (L) × 2.8 m (H)
Strukturell ramme:Lett-galvanisert stål (G550, 1,2–2,0 mm tykkelse)
Veggpaneler:75 mm sandwichpaneler (0,5 mm PPGI stål + 70 mm steinullisolasjon + dampsperre)
Gulvsystem:18 mm sementfiberplate på kald-formede stålbjelker
Takkompatibilitet:Designet for å integreres med CBCs lette takstolsystem
To moduler er slått sammenpå langså danne en4,5 m × 4,0 m=18 m² rom, som fungerer som det universelle fotavtrykket for begge boligtyper.

2.2 Lederboligbygg
Romoppsett (per enhet):
Soveplass: 3.0 m × 4.0 m = 12 m²
Inkluderer seng, skrivebord, garderobeskap, AC-enhet
En-bad: 1.5 m × 4.0 m = 6 m²
Utstyrt med keramiske fliser, vegghengt-toalett, servant, gulvavløp og prefabrikkert dusjkabinett
Bygningskonfigurasjon:
Gulv:2 historier
Rom per etasje:12 (6 rom mot sør, 6 mot nord)
Korridor:Sentral 2,0 m bred gangvei
Trapp:En trapp i hver ende (øst og vest)
Totalt antall rom per bygning: 24
Antall bygninger som kreves: 250 ÷ 24 ≈ 11 bygninger(totalt 264 rom)
2.3 Arbeiderhjemsbygning
Romoppsett (per enhet):
Romstørrelse: 4.5 m × 4.0 m = 18 m²
Belegg:4 personer
Møbler:Fire (4) enkeltsenger (1,2 m × 2,0 m), arrangert langs vegger med1,5 m midtgang
Ikke eget bad
Sanitetsmoduler:
To ekstra moduler per etasje (østsiden):
Nord-modul:Herretoaletter + urinaler
Sør-modul:Kvinnelige toaletter + dusjer
Hver sanitærmodul betjener ~28 beboere per etasje
Bygningskonfigurasjon:
Gulv:2 historier
Rom per etasje:14 (7 nord, 7 sør)
Korridor:Sentral 2,0 m bred gangvei
Trapp:I begge ender
Totalt antall rom per bygning: 28 → 112 senger
Antall bygninger som kreves: 1,600 ÷ 112 ≈ 15 bygninger(totalt 1680 senger)
2.4 Vanlige struktur- og etterbehandlingssystemer
Interne korridorer:
Struktur:CBC proprietær kald-formet stålramme
Gulv:18 mm sementfiberplate + 2 mm PVC-gulv av kommersiell-kvalitet (anti-skli, fuktbestandig-)
Tak:Nedhengte mineralfiber- eller PVC-paneler med integrert LED-belysning
Rekkverk:Pulverlakkert-stål på åpne sider
Taksystem:
Struktur:Lett stål takstoler (spenner opptil 9 m)
Kledning:0,5 mm PPGI farge-belagt stålplate (marine-belegg)
Isolasjon:100 mm glassullteppe (R-verdi større enn eller lik 2,8 m²·K/W)
Taktak:0,6 m overheng for regnbeskyttelse
Værbeskyttelse:
Alle skjøter forseglet med EPDM-pakninger
Forhøyet fundament (betongpirer eller skrupeler) for flommotstand
Termitt- og korrosjonsbestandig-materiale overalt

3. Materialavgang (anslåtte mengder)
|
Punkt |
Enhet |
Mengde |
Notater |
|
Basismoduler (2,25×4 m) |
Enheter |
708 |
Ledelse: 264 rom × 2 =528 moduler Arbeider: 420 rom × 2 =840 moduler Sanitet: 15 bygninger × 2 bygninger × 2 mods =60 moduler Totalt antall moduler=(528 + 840 + 60)=1,428→ men merk: ledelse og arbeidsrom deler samme modultype; endelig telling justert for delt produksjon:~708 unike enheter(hver bygning bruker identiske moduler) |
|
Korridorrammer i stål |
Lineære meter |
2,200 m |
26 bygninger × 2 etasjer × 42 m gns. korridorlengde |
|
Sementfiberplate (18 mm) |
m² |
2,500 m² |
Korridorer + landinger |
|
PVC-gulv (2 mm) |
m² |
2,500 m² |
Kun korridorer |
|
PPGI takplater (0,5 mm) |
m² |
5,800 m² |
26 bygninger × ~223 m² tak hver |
|
Glassullisolasjon (100 mm) |
m³ |
580 m³ |
Samme område som taktekking |
|
Baderomsinnredning (toalett, vask, dusj) |
Sett |
264 |
Kun for forvaltningsenheter |
|
Enkeltsenger (1,2×2 m) |
Enheter |
1,680 |
For arbeidshybler |
|
Trappeenheter (prefabrikkert stål) |
Sett |
52 |
2 per bygning × 26 bygninger |
Merk: Modulantall forutsetter høy standardisering. Faktisk fabrikkproduksjon vil batch identiske enheter for kostnadseffektivitet.

4. Gjennomførbarhetsanalyse for prosjekt
4.1 Teknisk gjennomførbarhet
✅ Utprøvd system: CBC's Flatpack system has been deployed in >15 tropiske gruveleire over Sørøst-Asia og Afrika.
✅ Transporteffektivitet: Moduler flate-pakke til<30 cm height**, allowing 10–12 units per 40-ft container.
✅ **Rask montering**: En bygning med 24 rom kan reises av 6 arbeidere i **5–7 dager**.
✅ **Climate Resilience**: Designed for **high humidity (>80%), saltspray, heavy rainfall (>3000 mm/år), ogseismisk sone 3(per SNI 1726:2019).
4.2 Økonomisk gjennomførbarhet
CAPEX besparelser: 25–40 % lavere enn tradisjonell betongkonstruksjon i avsidesliggende områder.
Logistikk kostnadsreduksjon: Standardiserte moduler reduserer forsendelseskompleksitet og tollforsinkelser.
Livssyklusverdi: 15–20 års levetid med minimalt vedlikehold.
4.3 Overholdelse av forskrifter og sikkerhet
MøterIndonesisk nasjonal standard (SNI)for midlertidige strukturer.
Brann-veggpaneler (klasse B, ASTM E84).
Nødutgang i samsvar medMinistry of Manpower Regulation No. 5 of 2018på arbeiderboliger.

5. Fordeler og begrensninger
Fordeler
Skalerbarhet: Enkelt å legge til eller rekonfigurere bygninger ettersom arbeidsstyrken svinger.
Hastighet-til-belegg: Full leir operativ innen8–10 ukerfra ordre.
Kvalitetskontroll: Fabrikk-bygget under ISO 9001-betingelser kontra variabelt arbeid på-stedet.
Bærekraft: 90 % resirkulerbar stålstruktur; redusert byggeavfall.
Begrensninger
Innledende CAPEX: Høyere kostnad per-enhet enn grunnleggende brakker (oppveid av hastighet og kvalitet).
Tilpasningsgrenser: Layout begrenset av 2,25 m modulbredde.
Grunnlagsavhengighet: Krever jevn grunn eller konstruerte brygger på myk jord.
6. Målmarked og kundeanalyse
6.1 Målrette kunder
Gruve- og ressursselskaper: Opererer på avsidesliggende indonesiske øyer (f.eks. Kalimantan, Sulawesi, Papua).
Olje og gass entreprenører: Krever sikre, skalerbare arbeiderleirer.
Infrastrukturutviklere: Bygge veier, havner eller kraftverk i isolerte områder.
Offentlige etater: Ministry of Energy and Mineral Resources (ESDM) eller statseide-foretak (f.eks. ANTAM, Inalum).
6.2 Målmarkeder
Indonesia: Primærfokus på grunn av skjærgårdsgeografi og blomstrende gruvesektor.
Sørøst-Asia: Malaysia, Filippinene, Vietnam-lignende klima- og logistikkutfordringer.
Afrika og Latin-Amerika: Sekundærmarkeder med sammenlignbare fjerntliggende industrielle behov.
6.3 Konkurransefortrinn
CBCs løsning overgår konkurrentene gjennom:
Ekte modularitet(ikke modifiserte fraktcontainere)
Flat-pakkeeffektivitet(lavere fraktkostnader)
Integrert MEP-klar design(forhånds-installerte rør for strøm, vann, data)
Lokale forsamlingspartnerskapi Jakarta og Surabaya

7. Konklusjon og anbefalinger
Det foreslåtte modulære leirsystemet tilfredsstiller fullt ut kundens funksjonelle, logistiske og miljømessige krav. Ved å utnytte CBCs standardiserte Flatpack Container House-plattform, oppnår prosjektet:
Rask utplassering på et logistisk utfordrende sted
Høy beboerkomfort for ledelse og verdige levekår for arbeidere
Lang-holdbarhet under tøffe tropiske forhold
Betydelige livssykluskostnadsfordeler
Anbefalinger:
Gjennomfør anettstedundersøkelsefor å bekrefte fundamenteringsforhold og adkomstveier.
Engasjere seglokale arbeidspartnerefor montering under CBC-tilsyn.
Inkluderesolenergi-klar takdesignfor fremtidig integrering av fornybar energi.
Implementeredigitalt leirstyringssystem(valgfrie IoT-sensorer for belegg, verktøy).
Denne løsningen posisjonerer kunden som ledende innenESG-kompatibel gruvedrift, forbedrer oppbevaring av arbeidsstyrken og operasjonell kontinuitet.
Du kommer kanskje også til å like
Sende bookingforespørsel











